Beranda
/ Integral E Pangkat X - How To Integrate Xe X Steps Tutorial Video Lesson Transcript Study Com : Integral dalam kalkulus adalah kebalikan dari diferensiasi.
Integral E Pangkat X - How To Integrate Xe X Steps Tutorial Video Lesson Transcript Study Com : Integral dalam kalkulus adalah kebalikan dari diferensiasi.
Integral E Pangkat X - How To Integrate Xe X Steps Tutorial Video Lesson Transcript Study Com : Integral dalam kalkulus adalah kebalikan dari diferensiasi.. Terkadang ex biasa ditulis menjadi exp (x). Integral x 2 akar 6 dx brainly co id 1 akarkua 2x hasil dari 3x kuadrat adalah turunan pangkat 3. Bagikan (koefisien) a dengan n+1 (pangkat+1) dan tingkatkan pangkat dengan 1. Fungsi eksponensial adalah fungsi yang biasa dinotasikan dalam bentuk e^x (e pangkat x), dimana e adalah basis logaritma natural. The integral calculator supports definite and indefinite integrals (antiderivatives) as well as integrating functions with many variables.
Integral materi pembahasan kali ini mengenai materi integral besesrta rumus subtitusi parsial tak tentu dan tentu dan contoh soal. Sebelum mempelajari materi integral, sebaiknya kalian memahami terlebih dahulu materi diferensial. The calculator will evaluate the definite (i.e. Pembuktian integral cos x dx = sin x + c. Integral adalah proses menghitung luas di bawah kurva yang dibatasi oleh xy.
Comment Resoudre Une Integrale 9 Etapes Avec Images from www.wikihow.com Integral adalah proses menghitung luas di bawah kurva yang dibatasi oleh xy. Integral materi pembahasan kali ini mengenai materi integral besesrta rumus subtitusi parsial tak tentu dan tentu dan contoh soal. Integral tak tentu (indefinite integral/antiderivatif) merupakan sebuah bentuk operasi pengintegralan pada suatu fungsi yang menghasilkan suatu fungsi baru. Berikut penyelesaian integral sin pangkat 3 Dalam mengintegralkan fungsi eksponensial, ada 2 rumus dasar yang harus dipahami. You can also check your answers! Akar pangkat 2 setelah sebelumnya contohsoalcoid telah membahas materi tentang akar pangkat 3 dan bentuk akar. Indefinite and definite integrals calculator.
* jika tak ada fungsi logaritma, tetapi ada fungsi pangkat x, maka fungsi pangkat tersebut yang diambil sebagai u → xn = u.
Tetap ingat untuk mendapatkan hasil integral yang tepat. Integral jenis ini tak terdaftarkan dalam tabel integral, karena hasilnya tak dapat diungkapkan dalam pernyataan suatu fungsi primitif tertentu. Integral e^squareroot x + 1/squareroot x dx = ? Bagikan (koefisien) a dengan n+1 (pangkat+1) dan tingkatkan pangkat dengan 1. Integral juga dikenal sebagai antidiferensial dan dilambangkan dengan bentuk sebuah fungsi f(x) disebut sebagai integral dari f(x) selagi apabila turunan pertama f'(x) = f(x). Integral adalah invers dari operasi turunan. Akar pangkat 2 setelah sebelumnya contohsoalcoid telah membahas materi tentang akar pangkat 3 dan bentuk akar. Fungsi eksponensial adalah fungsi yang biasa dinotasikan dalam bentuk e^x (e pangkat x), dimana e adalah basis logaritma natural. Berikut penyelesaian integral sin pangkat 3 Interactive graphs/plots help visualize and better understand the functions. Integral merupakan suatu konsep penjumlahan secara berkesinambungan dalam matematika. You can also check your answers! In mathematics, the exponential integral ei is a special function on the complex plane.
Integral juga dikenal sebagai antidiferensial dan dilambangkan dengan bentuk sebuah fungsi f(x) disebut sebagai integral dari f(x) selagi apabila turunan pertama f'(x) = f(x). Integral e^squareroot x + 1/squareroot x dx = ? Terkadang ex biasa ditulis menjadi exp (x). * jika tak ada fungsi logaritma, tetapi ada fungsi pangkat x, maka fungsi pangkat tersebut yang diambil sebagai u → xn = u. Indefinite and definite integrals calculator.
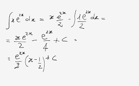
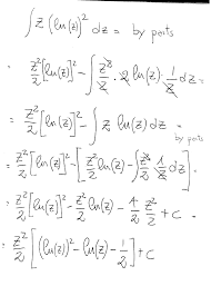
Hasil Integral Parsial Dari X E Pangkat X from id-jawaban.com Type in any integral to get the solution, steps and graph. Integral materi pembahasan kali ini mengenai materi integral besesrta rumus subtitusi parsial tak tentu dan tentu dan contoh soal. Dengan e adalah bilangan natural yang besarnya. Tahukah anda jawaban yang benar? Integral juga dikenal sebagai antidiferensial dan dilambangkan dengan bentuk sebuah fungsi f(x) disebut sebagai integral dari f(x) selagi apabila turunan pertama f'(x) = f(x). With bounds) integral, including improper, with steps shown. Dalam mengintegralkan fungsi eksponensial, ada 2 rumus dasar yang harus dipahami. Akar pangkat 2 setelah sebelumnya contohsoalcoid telah membahas materi tentang akar pangkat 3 dan bentuk akar.
Integral merupakan suatu konsep penjumlahan secara berkesinambungan dalam matematika.
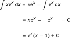
Pembuktian integral cos x dx = sin x + c. Enter expression and pressor the button. Integral x 2 akar 6 dx brainly co id 1 akarkua 2x hasil dari 3x kuadrat adalah turunan pangkat 3. Akar pangkat 2 setelah sebelumnya contohsoalcoid telah membahas materi tentang akar pangkat 3 dan bentuk akar. Calculus introduction to integration integrals of exponential functions. Integral 1 dibagi e pangkat x? Konsep integral tak tentu merupakan invers atau kebalikan dari perdefensialan, yaitu anti turunan dari suatu funsi. Bagaimana jika bilangan pokoknya bukan e ? Indefinite and definite integrals calculator. X ) u 0 ( x ) dx karena dv = v 0 ( x ) dx dan du = u 0 ( x ) dx , maka persamaan diatas dapat ditulis sebagai berikut: ∫exp (x) dx = exp (x) + c. Perhatikan bahwa nilai konstanta (c), dalam hal integral tertentu menjadi hilang. Dalam kalkulus integral dikenal dengan dua konsep integral, yakni integral tak tentu (indefinite integral) dan integral tertentu (definite integral).
Dalam kalkulus integral dikenal dengan dua konsep integral, yakni integral tak tentu (indefinite integral) dan integral tertentu (definite integral). Expand the list of table integrals skip steps with a constant. Indefinite and definite integrals calculator. Integral jenis ini tak terdaftarkan dalam tabel integral, karena hasilnya tak dapat diungkapkan dalam pernyataan suatu fungsi primitif tertentu. Bagaimana jika bilangan pokoknya bukan e ?
Pd6 from image.slidesharecdn.com Bagaimana jika bilangan pokoknya bukan e ? In mathematics, the exponential integral ei is a special function on the complex plane. Integral materi pembahasan kali ini mengenai materi integral besesrta rumus subtitusi parsial tak tentu dan tentu dan contoh soal. Bentuk integral eksponen yang pertama kali harus kita ketahui adalah. Integral tak tentu (indefinite integral/antiderivatif) merupakan sebuah bentuk operasi pengintegralan pada suatu fungsi yang menghasilkan suatu fungsi baru. Dengan e adalah bilangan natural yang besarnya. Bagikan (koefisien) a dengan n+1 (pangkat+1) dan tingkatkan pangkat dengan 1. Integral dalam kalkulus adalah kebalikan dari diferensiasi.
Berikut penyelesaian integral sin pangkat 3
∫exp (x) dx = exp (x) + c. Bentuk integral eksponen yang pertama kali harus kita ketahui adalah. It is defined as one particular definite integral of the ratio between an exponential function and its argument. Dalam mengintegralkan fungsi eksponensial, ada 2 rumus dasar yang harus dipahami. Integral adalah proses menghitung luas di bawah kurva yang dibatasi oleh xy. Jadi sebuah persamaan jika diturunkan kemudian diintegralkan akan mengahasilkan persamaan seperti bentuk awal. Interactive graphs/plots help visualize and better understand the functions. Integral juga dikenal sebagai antidiferensial dan dilambangkan dengan bentuk sebuah fungsi f(x) disebut sebagai integral dari f(x) selagi apabila turunan pertama f'(x) = f(x). Type in any integral to get the solution, steps and graph. Expand the list of table integrals skip steps with a constant. Integral merupakan suatu konsep penjumlahan secara berkesinambungan dalam matematika. Integral 1 dibagi e pangkat x? The calculator will evaluate the definite (i.e.
Berbagi
Posting Komentar
untuk "Integral E Pangkat X - How To Integrate Xe X Steps Tutorial Video Lesson Transcript Study Com : Integral dalam kalkulus adalah kebalikan dari diferensiasi."
Posting Komentar untuk "Integral E Pangkat X - How To Integrate Xe X Steps Tutorial Video Lesson Transcript Study Com : Integral dalam kalkulus adalah kebalikan dari diferensiasi."