Beranda
/ Invers Matriks Berordo 2 * 2 / Cara Mencari Invers Matriks Ordo 2 2 Dan 3 3 Lengkap Anto Tunggal - Sebenarnya materi ini akan di ajarkan ketika kita duduk di bangku sekolah menengah keatas kelas sembilan.
Invers Matriks Berordo 2 * 2 / Cara Mencari Invers Matriks Ordo 2 2 Dan 3 3 Lengkap Anto Tunggal - Sebenarnya materi ini akan di ajarkan ketika kita duduk di bangku sekolah menengah keatas kelas sembilan.
Invers Matriks Berordo 2 * 2 / Cara Mencari Invers Matriks Ordo 2 2 Dan 3 3 Lengkap Anto Tunggal - Sebenarnya materi ini akan di ajarkan ketika kita duduk di bangku sekolah menengah keatas kelas sembilan.. Pada kali ini kita akan mempelajari materi determinan matriks dan invers matriks berordo 2 x 2 dan berordo 3 x 3, jangan lupa untuk memahami ya. Misalkan diberikan matriks a berordo 2x2 dan b berordo 2x2 sebagai berikut. Kali ini gue bakalan nulis artikel tentang rumus cepat invers matriks ordo 2x2. Di saat kita duduk di bangku sekolah bangku sekolah menengah keatas kelas sembilan di sinilah kita akan mulai di ajarkan ibu atau bapak guru di sekolah tentang invers matriks ordo 2 × 2. ¼ menyelesaikan system persamaan linier dua variable menggunakan invers matriks.
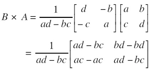
Misalkan diberikan matriks a berordo 2x2 dan b berordo 2x2 sebagai berikut. Contoh soal matriks dan pembahasan contoh soal 1. Suatu matriks a memiliki invers (kebalikan) jika ada matriks b yang dapat membentuk persamaan ab = ba = i, dengan i adalah matriks identitas. Suatu perkalian matriks menghasilkan matriks nol. Pada kali ini kita akan mempelajari materi determinan matriks dan invers matriks berordo 2 x 2 dan berordo 3 x 3, jangan lupa untuk memahami ya.
Matriks Jenis Determinan Dan Invers Tambah Pinter from i0.wp.com Sebenarnya materi ini akan di ajarkan ketika kita duduk di bangku sekolah menengah keatas kelas sembilan. Jan 30, 2021 · untuk menentukan rumus invers suatu matriks berordo 2×2 sebagai berikut ini : Ada beberapa tutorial tentang matriks yang disajikan oleh imath tutorial. More images for invers matriks berordo 2 * 2 » Invers matriks pada pembahasan di atas kita sudah mempelajari tentang determinan matriks berordo 2 x 2 dan matriks berordo 3 x 3. Mar 20, 2021 · invers matriks matriks adalah salah satu bahan pembelajaran untuk matematika yang terdiri dari susunan numerik dalam kurung. Suatu matriks a memiliki invers (kebalikan) jika ada matriks b yang dapat membentuk persamaan ab = ba = i, dengan i adalah matriks identitas. Di saat kita duduk di bangku sekolah bangku sekolah menengah keatas kelas sembilan di sinilah kita akan mulai di ajarkan ibu atau bapak guru di sekolah tentang invers matriks ordo 2 × 2.
Jul 12, 2021 · kalian tidak akan mengalami kesusahan dalam mengerjakan soal invers matriks ordo 2 × 2.
Sistem persamaan linier ¯ ® 2 2 2 1 1 1 a x b y c a x b y c dapat dinyatakan dalam bentuk persamaan matriks menjadi : Kali ini gue bakalan nulis artikel tentang rumus cepat invers matriks ordo 2x2. Contoh soal matriks dan pembahasan contoh soal 1. Mar 20, 2021 · invers matriks matriks adalah salah satu bahan pembelajaran untuk matematika yang terdiri dari susunan numerik dalam kurung. More images for invers matriks berordo 2 * 2 » Jika a adalah matriks persegi yang berordo sama dengan i, maka berlaku. Pada kali ini kita akan mempelajari materi determinan matriks dan invers matriks berordo 2 x 2 dan berordo 3 x 3, jangan lupa untuk memahami ya. Misalkan diberikan matriks a berordo 2x2 dan b berordo 2x2 sebagai berikut. Jan 30, 2021 · untuk menentukan rumus invers suatu matriks berordo 2×2 sebagai berikut ini : Untuk matriks identitas ordo (2 x 2) dapat dinyatakan sebagai. Posts about matriks written by latihanmat. Invers dari suatu matriks berordo (2 x 2) seperti dapat dirumuskan sebagai: ¼ menyelesaikan system persamaan linier dua variable menggunakan invers matriks.
Sistem persamaan linier ¯ ® 2 2 2 1 1 1 a x b y c a x b y c dapat dinyatakan dalam bentuk persamaan matriks menjadi : Jika a adalah matriks persegi yang berordo sama dengan i, maka berlaku. Suatu perkalian matriks menghasilkan matriks nol. Aug 16, 2021 · invers matriks trigonometri. Mar 20, 2021 · invers matriks matriks adalah salah satu bahan pembelajaran untuk matematika yang terdiri dari susunan numerik dalam kurung.
Maretong Determinan Dan Invers Matriks from 1.bp.blogspot.com Sistem persamaan linier ¯ ® 2 2 2 1 1 1 a x b y c a x b y c dapat dinyatakan dalam bentuk persamaan matriks menjadi : Suatu matriks a memiliki invers (kebalikan) jika ada matriks b yang dapat membentuk persamaan ab = ba = i, dengan i adalah matriks identitas. Suatu perkalian matriks menghasilkan matriks nol. A x i = i x a = a. Contoh soal matriks dan pembahasan contoh soal 1. Jul 12, 2021 · kalian tidak akan mengalami kesusahan dalam mengerjakan soal invers matriks ordo 2 × 2. Mar 20, 2021 · invers matriks matriks adalah salah satu bahan pembelajaran untuk matematika yang terdiri dari susunan numerik dalam kurung. Invers dari suatu matriks berordo (2 x 2) seperti dapat dirumuskan sebagai:
Invers perkalian matriks (ordo 2 x 2) matriks identitas perkalian (dilambangkan dengan i) adalah sebuah matriks persegi yang memenuhi sifat:
Ada beberapa tutorial tentang matriks yang disajikan oleh imath tutorial. Jika a adalah matriks persegi yang berordo sama dengan i, maka berlaku. Untuk matriks identitas ordo (2 x 2) dapat dinyatakan sebagai. Invers matriks pada pembahasan di atas kita sudah mempelajari tentang determinan matriks berordo 2 x 2 dan matriks berordo 3 x 3. Misalkan diberikan matriks a berordo 2x2 dan b berordo 2x2 sebagai berikut. Kali ini gue bakalan nulis artikel tentang rumus cepat invers matriks ordo 2x2. Posts about matriks written by latihanmat. Invers dari suatu matriks berordo (2 x 2) seperti dapat dirumuskan sebagai: A x i = i x a = a. Video tutorial (imath tutorial) ini memberikan materi tentang matriks. Suatu perkalian matriks menghasilkan matriks nol. Jan 30, 2021 · untuk menentukan rumus invers suatu matriks berordo 2×2 sebagai berikut ini : Jul 12, 2021 · kalian tidak akan mengalami kesusahan dalam mengerjakan soal invers matriks ordo 2 × 2.
Pada kali ini kita akan mempelajari materi determinan matriks dan invers matriks berordo 2 x 2 dan berordo 3 x 3, jangan lupa untuk memahami ya. Invers matriks pada pembahasan di atas kita sudah mempelajari tentang determinan matriks berordo 2 x 2 dan matriks berordo 3 x 3. Sistem persamaan linier ¯ ® 2 2 2 1 1 1 a x b y c a x b y c dapat dinyatakan dalam bentuk persamaan matriks menjadi : Suatu matriks a memiliki invers (kebalikan) jika ada matriks b yang dapat membentuk persamaan ab = ba = i, dengan i adalah matriks identitas. Mar 20, 2021 · invers matriks matriks adalah salah satu bahan pembelajaran untuk matematika yang terdiri dari susunan numerik dalam kurung.
Soal Determinan Matriks Ordo 2x2 from files.liveworksheets.com Invers dari suatu matriks berordo (2 x 2) seperti dapat dirumuskan sebagai: ¼ menyelesaikan system persamaan linier dua variable menggunakan invers matriks. Suatu matriks a memiliki invers (kebalikan) jika ada matriks b yang dapat membentuk persamaan ab = ba = i, dengan i adalah matriks identitas. Invers matriks pada pembahasan di atas kita sudah mempelajari tentang determinan matriks berordo 2 x 2 dan matriks berordo 3 x 3. Jika a adalah matriks persegi yang berordo sama dengan i, maka berlaku. Kali ini gue bakalan nulis artikel tentang rumus cepat invers matriks ordo 2x2. Video tutorial (imath tutorial) ini memberikan materi tentang matriks. Jan 30, 2021 · untuk menentukan rumus invers suatu matriks berordo 2×2 sebagai berikut ini :
Aug 16, 2021 · invers matriks trigonometri.
Invers matriks pada pembahasan di atas kita sudah mempelajari tentang determinan matriks berordo 2 x 2 dan matriks berordo 3 x 3. Mar 20, 2021 · invers matriks matriks adalah salah satu bahan pembelajaran untuk matematika yang terdiri dari susunan numerik dalam kurung. Misalkan diberikan matriks a berordo 2x2 dan b berordo 2x2 sebagai berikut. Invers perkalian matriks (ordo 2 x 2) matriks identitas perkalian (dilambangkan dengan i) adalah sebuah matriks persegi yang memenuhi sifat: Pada kali ini kita akan mempelajari materi determinan matriks dan invers matriks berordo 2 x 2 dan berordo 3 x 3, jangan lupa untuk memahami ya. ¼ menyelesaikan system persamaan linier dua variable menggunakan invers matriks. A x i = i x a = a. Jan 30, 2021 · untuk menentukan rumus invers suatu matriks berordo 2×2 sebagai berikut ini : Posts about matriks written by latihanmat. Di saat kita duduk di bangku sekolah bangku sekolah menengah keatas kelas sembilan di sinilah kita akan mulai di ajarkan ibu atau bapak guru di sekolah tentang invers matriks ordo 2 × 2. Reduce the left matrix to row echelon form using elementary row operations for the whole matrix including the right one. Untuk matriks identitas ordo (2 x 2) dapat dinyatakan sebagai. Invers dari suatu matriks berordo (2 x 2) seperti dapat dirumuskan sebagai:
Berbagi
Posting Komentar
untuk "Invers Matriks Berordo 2 * 2 / Cara Mencari Invers Matriks Ordo 2 2 Dan 3 3 Lengkap Anto Tunggal - Sebenarnya materi ini akan di ajarkan ketika kita duduk di bangku sekolah menengah keatas kelas sembilan."
Posting Komentar untuk "Invers Matriks Berordo 2 * 2 / Cara Mencari Invers Matriks Ordo 2 2 Dan 3 3 Lengkap Anto Tunggal - Sebenarnya materi ini akan di ajarkan ketika kita duduk di bangku sekolah menengah keatas kelas sembilan."